产品详情
1.用途:
GY4-68型锅炉离心通、引风机是适用于火力发电厂中230T/h以下蒸汽锅炉的通、引风机系列。在无其他其它要求时,G4-68型亦可用于矿井通风及一般通风。
通风机输送的介质为空气,*高温度不得超过80℃;引风机输送的介质为烟气,*高温度不得超过250℃。
在引风机前,须加装除尘效率不低于85%的除尘装置,降低进入风机中的烟气含尘量,以提高风机的使用寿命。
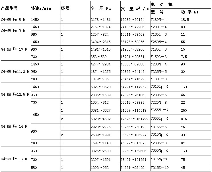
GY4-68型锅炉离心通引风机性能参数表:
性能表中提供的参数。通风机性能按气体温度为20℃,大气压力为101325Pa,气体密度为1.5kg/m3的空气介质计算;引风机性能按气体温度为200℃,大气压力为101325Pa,气体密度为0.745kg/m3的烟气介质计算。
G4-68X型锅炉离心通风机性能参数表:

微信沟通